Análisis de redes PERT
Cuando la escala y la complejidad de un proyecto exceden cierto umbral, las herramientas lineales de programación dejan de ser suficientes desde un punto de vista analítico. Los diagramas tradicionales, como los de Gantt o los diagramas de carga, presuponen implícitamente que las actividades pueden disponerse en secuencias relativamente simples o que su interdependencia es limitada. Sin embargo, en proyectos de gran envergadura —como el desarrollo integral de un nuevo producto o la reestructuración organizacional de una empresa— las actividades no solo son numerosas, sino que están unidas por relaciones de dependencia lógica, temporal y funcional altamente intrincadas. En estos casos, el problema de la planificación deja de ser una cuestión de ordenamiento lineal y se convierte en un fenómeno de naturaleza reticular, en el que múltiples trayectorias posibles convergen, divergen y se condicionan mutuamente.
Desde esta perspectiva, el análisis de redes mediante la técnica de evaluación y revisión de proyectos se fundamenta en la representación del proyecto como un sistema complejo compuesto por nodos y conexiones. Los nodos, denominados eventos, constituyen estados discretos que indican la finalización de etapas significativas, mientras que las conexiones, llamadas actividades, representan procesos que consumen tiempo y recursos para transitar de un estado a otro. Esta estructura no es arbitraria, sino que refleja la lógica interna del proyecto, en la cual ciertas acciones solo pueden iniciarse cuando otras han concluido, estableciendo así relaciones de precedencia que configuran una red dirigida.
La necesidad de este enfoque surge de la imposibilidad de comprender y controlar un proyecto complejo mediante una visión fragmentada. En ausencia de una representación en red, el gerente carecería de una herramienta que le permita visualizar simultáneamente la totalidad de las interdependencias. Esto implicaría un alto riesgo de inconsistencias en la programación, como la asignación de recursos a actividades que no pueden iniciarse aún o la omisión de restricciones críticas que condicionan el avance del proyecto. La red PERT, al integrar todas las actividades en un solo modelo coherente, permite superar esta limitación al proporcionar una visión holística del sistema.
Un aspecto central del análisis PERT es la identificación de la denominada ruta crítica, que constituye la trayectoria de mayor duración dentro de la red. Desde un punto de vista matemático, esta ruta determina el tiempo mínimo necesario para completar el proyecto, dado que cualquier retraso en alguna de sus actividades se traduce inevitablemente en una extensión del plazo total. Este concepto introduce una jerarquización implícita entre las actividades, distinguiendo aquellas que poseen flexibilidad temporal —expresada mediante la holgura— de aquellas que son absolutamente restrictivas. La holgura, por su parte, representa un margen de maniobra que permite al gestor redistribuir recursos sin comprometer la fecha final del proyecto, lo cual es esencial para la optimización operativa.
El carácter científico de la técnica radica también en su capacidad para incorporar incertidumbre y evaluar escenarios alternativos. En contextos reales, la duración de las actividades rara vez es determinista; más bien, se encuentra sujeta a variabilidad derivada de factores técnicos, humanos y ambientales. La estructura de la red permite analizar cómo estas variaciones pueden propagarse a través del sistema, afectando la duración total del proyecto. Asimismo, facilita la simulación de diferentes cursos de acción, permitiendo comparar sus efectos sobre variables clave como el tiempo y el costo, lo cual transforma la planificación en un proceso dinámico y adaptativo.
Otro elemento relevante es que el análisis de redes promueve un proceso cognitivo más riguroso por parte del gerente. La construcción de la red exige la identificación exhaustiva de todas las actividades necesarias, su correcta secuenciación y la estimación fundamentada de sus duraciones. Este ejercicio no solo mejora la calidad de la planificación, sino que también revela posibles puntos de conflicto, como dependencias circulares, redundancias o cuellos de botella estructurales. En consecuencia, la red no es únicamente un instrumento de representación, sino también una herramienta de diagnóstico y aprendizaje organizacional.
En términos de control, la red PERT proporciona un marco de referencia que permite monitorear el avance del proyecto de manera sistemática. Al comparar el progreso real con el programado, el gerente puede detectar desviaciones tempranas y tomar medidas correctivas antes de que estas se amplifiquen. Esta capacidad de supervisión continua es especialmente valiosa en proyectos complejos, donde los efectos de un retraso pueden multiplicarse debido a la interconexión de las actividades.
Pasos para el desarrollo de una red PERT
La construcción rigurosa de una red PERT no es un procedimiento arbitrario, sino una secuencia lógica de etapas que responden a la necesidad de descomponer, ordenar y cuantificar un sistema complejo de trabajo. Cada uno de los pasos descritos cumple una función específica dentro de un marco analítico orientado a transformar un proyecto abstracto en un modelo estructurado, susceptible de evaluación, control y optimización.
La identificación exhaustiva de todas las actividades relevantes constituye el fundamento del proceso. Desde una perspectiva científica, un proyecto puede entenderse como un sistema compuesto por múltiples procesos interrelacionados que, en conjunto, conducen a un resultado final. Si alguna de estas actividades no es reconocida desde el inicio, se introduce una omisión estructural en el modelo que puede traducirse en fallas de ejecución, retrasos o desviaciones en los costos. Cada actividad representa una transformación específica de insumos en resultados parciales, y su cumplimiento genera eventos, es decir, estados verificables que indican que una fase determinada ha concluido. Esta relación entre actividades y eventos permite conceptualizar el proyecto como una secuencia de transiciones entre estados, lo cual facilita su análisis formal.
Posteriormente, resulta imprescindible determinar el orden en que dichos eventos deben ocurrir. Este paso responde al principio de precedencia lógica, según el cual ciertas acciones no pueden iniciarse hasta que otras hayan finalizado. La correcta identificación de estas dependencias evita inconsistencias en la programación, como la ejecución prematura de actividades que carecen de condiciones previas necesarias. Desde el punto de vista sistémico, esta etapa implica establecer una estructura de relaciones causales y temporales que define la arquitectura del proyecto. La precisión en este ordenamiento es crucial, ya que cualquier error en la secuencia puede propagarse a lo largo de la red, afectando la coherencia global del modelo.
Una vez definidas las actividades y sus relaciones, se procede a la representación gráfica mediante un diagrama de flujo. El uso de círculos para los eventos y flechas para las actividades no es una convención meramente visual, sino una forma de codificación simbólica que permite distinguir claramente entre estados y procesos. Esta representación da origen a la denominada red PERT, en la cual se integran todas las actividades en una estructura reticular que refleja tanto la secuencia como la interdependencia de los elementos. La ventaja de este enfoque radica en su capacidad para hacer visible la complejidad del proyecto, permitiendo al analista identificar rutas alternativas, puntos de convergencia y posibles cuellos de botella.
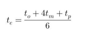
El siguiente paso consiste en la estimación del tiempo requerido para cada actividad, lo cual introduce una dimensión cuantitativa en el análisis. Dado que la duración de las actividades está sujeta a incertidumbre, no es suficiente asignar un único valor determinista. En su lugar, se recurre a un enfoque probabilístico basado en tres estimaciones: el tiempo optimista, que representa la duración mínima bajo condiciones ideales; el tiempo más probable, que refleja el escenario más frecuente; y el tiempo pesimista, que considera condiciones adversas. La combinación de estos tres valores mediante un promedio ponderado permite calcular un tiempo esperado que incorpora la variabilidad inherente al proceso.
La expresión es:

Donde:
- t_e = tiempo esperado
- t_o = tiempo optimista (duración mínima en condiciones ideales)
- t_m = tiempo más probable (duración en condiciones normales)
- t_p = tiempo pesimista (duración máxima bajo condiciones adversas)
Esta fórmula es un promedio ponderado que asigna mayor peso al tiempo más probable, ya que se considera el valor con mayor probabilidad de ocurrencia dentro de la distribución de tiempos posibles.
Esta fórmula es un promedio ponderado que asigna mayor peso al tiempo más probable, ya que se considera el valor con mayor probabilidad de ocurrencia dentro de la distribución de tiempos posibles.
Una vez integradas las estimaciones temporales en la red, se puede utilizar el modelo para establecer un programa detallado del proyecto. Este programa incluye las fechas de inicio y finalización de cada actividad, así como la duración total del proyecto. El análisis de la red permite identificar la ruta crítica, que es la secuencia de actividades cuya duración acumulada determina el tiempo mínimo de ejecución. Este concepto es fundamental, ya que introduce una distinción entre actividades críticas y no críticas. Las primeras carecen de holgura, lo que significa que cualquier retraso en su ejecución impacta directamente en la duración total del proyecto. En contraste, las actividades no críticas disponen de cierto margen de flexibilidad temporal que puede ser aprovechado para ajustar la asignación de recursos.
La atención prioritaria a la ruta crítica se justifica por su papel determinante en el desempeño global del proyecto. Desde un enfoque de control, la identificación de esta ruta permite focalizar los esfuerzos de supervisión en aquellos puntos donde el riesgo de retraso tiene mayores consecuencias. Esto no implica descuidar las demás actividades, sino reconocer que la gestión eficiente requiere establecer prioridades basadas en el impacto potencial de cada componente del sistema.
M.R.E.A.











