Diagramas de carga
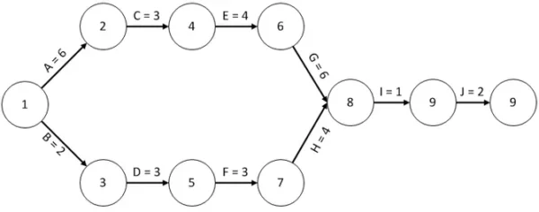
Los diagramas de carga constituyen una adaptación conceptual y funcional del conocido diagrama de Gantt, pero su transformación no es meramente estética, sino metodológica. Mientras que el diagrama de Gantt … Leer más
Administración Desde Cero es un sitio que ofrece contenidos claros y prácticos sobre gestión y administración de empresas. Explica conceptos esenciales, brinda herramientas útiles y guía a emprendedores, estudiantes y profesionales que desean aprender a dirigir, organizar y mejorar una organización desde sus bases.
Los diagramas de carga constituyen una adaptación conceptual y funcional del conocido diagrama de Gantt, pero su transformación no es meramente estética, sino metodológica. Mientras que el diagrama de Gantt … Leer más
Cuando la escala y la complejidad de un proyecto exceden cierto umbral, las herramientas lineales de programación dejan de ser suficientes desde un punto de vista analítico. Los diagramas tradicionales, … Leer más
Los diagramas de Gantt constituyen una de las representaciones más influyentes en la evolución de las técnicas de gestión del tiempo y de los proyectos, debido a su capacidad para … Leer más